2025年3月29日,《Construction and Building Materials》杂志(中科院1区,IF:7.4)刊登了课题组米纪一硕士研究生的最新成果:Evaluation of the cooling mechanisms and performance of passive radiative cooling coatings in track-slab applications (https://doi.org/10.1016/j.conbuildmat.2025.141057)

【Graphical Abstract】

【背景介绍】
无砟轨道在我国高速铁路系统中应用广泛,但太阳暴晒所引发的高温会损害其结构部件,引发轨道板上拱等问题。针对该问题,常用的两种解决方法包括:1)加固轨道板薄弱部位;2)在轨道板表面涂覆隔热或反射阳光的涂层。加固轨道板虽能增强其承载力、减少变形和裂缝,但成本高且无法根本解决热变形问题。而轨道板表面涂覆冷却涂层的方法应用较广,常见的涂层有相变材料涂层、复合相变微胶囊涂层和金属陶瓷防腐涂料等。目前建筑节能领域的新技术——被动辐射冷却(passive radiative cooling,下文简称PRC)涂层备受关注,其通过高反射率和高红外发射率等特征实现亚环境冷却,在建筑领域应用效果良好,具有在无砟轨道板冷却领域的应用价值。因此,本文深入研究了三种市售PRC涂层在轨道板表面的冷却效果,充分表征涂层的光学和界面性能,测定了其在不锈钢板与无砟轨道板试样上的冷却能力,并计算冷却功率密度以揭示PRC涂层的冷却机制,为PRC涂层技术在高铁无砟轨道板热管理中的应用提供理论支持。
【核心内容】
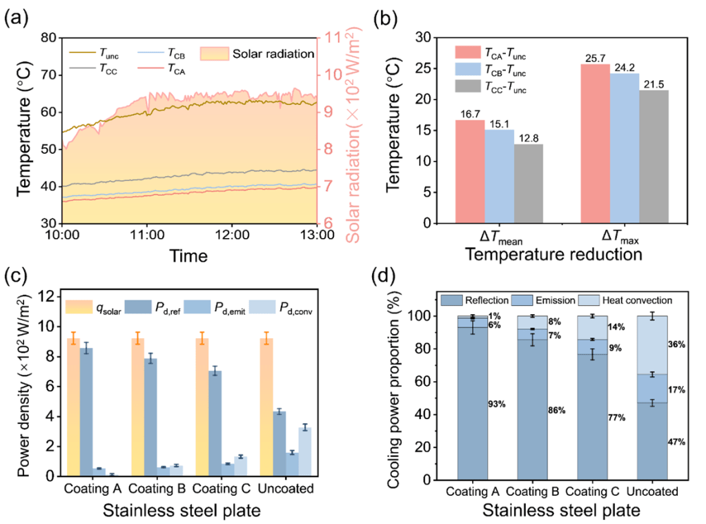
(1) PRC涂层的光学性能与表面微观形貌表征
本文深入表征了三种市售PRC涂层的光学和界面特性,包括反射率、发射率(图1)和界面形貌(图2)。结果表明,PRC涂层普遍对太阳辐射具有较高的反射率,并在远红外光谱中具有较高的发射率。PRC涂层的反射率与其表面的介观光滑度呈正相关关系,而发射率则与表面光滑度负相关。


(2) PRC涂层于钢板和混凝土试件的实际冷却效果测定及各途径冷却功率计算
本研究首先在不锈钢板上进行了PRC涂层冷却性能的实验测定。与未涂覆冷却涂层的板材相比,PRC涂层能实现21.5-25.7°C的最大温降。通过理论计算发现,涂层对太阳辐射的反射过程是实现其良好冷却性能的主要因素,其冷却功率密度为706-857 W/m2,占总冷却功率密度的77%-93%(图3)。本文同时发现PRC冷却性能主要由材料性能决定,与涂层厚度的相关性较小。本研究进而将PRC涂层应用于C55混凝土试件进行实际冷却效果测定。结果发现,PRC涂层使试件的表面温度平均降低了16°C,与未涂覆冷却涂层的试件相比降低了38%(图4)。试件的内部温度梯度则降低了47°C/m,相当于67%的降幅。


(3) 辐射制冷涂料与文献报道的无砟轨道板冷却涂料性能对比
与文献相比,本研究所应用的PRC涂层不仅对太阳辐射表现出高反射率,而且在红外波长范围内也表现出高发射率,从而为轨道板试件带来了优异的冷却性能。在自然太阳辐射下,PRC涂层使试件的表面温度和内部温度梯度分别降低了约38%和67%,在现有文献报道的数据中居于首位。通过对涂层材料和制备工艺的优化,PRC涂层的冷却性能有望进一步提升。

【成果小结】
本研究对三种市售PRC涂层用于无砟轨道板的冷却性能进行实验研究,结果表明PRC涂层能够显著降低轨道板试件的温度,从而减轻高速铁路轨道的热应力。通过光学性能分析,证明了PRC涂层对太阳辐射具有较高的反射率,并在远红外光谱中具有较强的发射率。应用于不锈钢板的冷却实验结果表明,PRC涂层的最大降温幅度为21.5-25.7℃。对太阳辐射的反射是其冷却性能的主导因素,其冷却功率密度为706-857 W/m2,占总冷却功率密度的77%-93%。天空背景辐射对表面冷却的贡献较小,存在较大的改进潜力。进一步将PRC涂层应用于C55混凝土试件上,可实现试件表面温度平均降低16℃、以及试件内部温度梯度降低47℃/m。基于文献对比,本研究发现PRC涂层在广泛报道的轨道板散热技术中表现出最佳的冷却性能。本研究旨在为高速铁路基础设施可持续热管理战略的制定提供科学依据,并进一步为PRC技术在土木工程中的更广泛应用提供深入见解。
【作者介绍】

米纪一:深圳大学土木与交通工程学院硕士生
该论文的第一作者是本课题组硕士研究生米纪一,主要从事被动辐射制冷涂层制备与应用相关研究。本文通讯作者为深圳大学土木与交通工程学院特聘教授莫金汉与香港理工大学土木及环境工程学系博士后陈着。共同作者包括清华大学建筑技术科学系博士研究生汪琰、邹武威、高轶伦等。
本文引用格式
Mi, J., Zou, W., Wang, Y., Gao, Y., Mo, J., Chen, Z., Evaluation of the cooling mechanisms and performance of passive radiative cooling coatings in track-slab applications. Construction and Building Materials, 2025, 473: 141057.
该工作受到国家自然科学基金项目(项目号:52325801)资助,特此致谢。
原文出处:https://doi.org/10.1016/j.conbuildmat.2025.141057
相关阅读
- “十四五”课题中期检查会顺利召开
- 博士生邹武威Engineering:一种应用于玻璃幕墙建筑的新型动态垂直光伏围护结构
- 博士生高轶伦Sep. Purif. Technol.: 电场激励下的界面修饰策略(e-OST)提升聚酯纤维空气过滤性能
- 田恩泽博士获国家基金委青年基金资助
- 博士生邹武威Energ. Convers. Manage.: 增强水凝胶的内部导热性以实现有效的光伏板被动散热
- 陈着博士Sci. Total Environ.: 室内环境中SVOC有机膜的形成动力学分析及其对儿童暴露的影响
- 陈着博士Build. Environ.: 邻苯二甲酸酯(DEHP)在室内空气悬浮颗粒和道路尘表面的分配机理和有机膜形成过程
- 2023年科研总结
- 硕士生魏嘉泽Scientific Data: 中国100户家庭空气净化器一年的时均空气质量参数数据集
- 博士生陈其威Chem. Eng. J: 通过直接喷墨印刷和碳酸铵处理强化VOC吸附薄层的内部扩散
- 博士生刘锡慧Building Simulation: 一种新型的微型静电式颗粒物采样器
- 博士生高轶伦: 一种两步级联式空气电离器提升静电过滤能效
- 博士生陈其威Small Methods: 直接墨水3D打印应用在气相吸附/催化传质增强中的最新进展和展望
- 田恩泽博士获中国博士后科学基金面上项目资助
- 田恩泽博士Build. Environ.: 静电力强化颗粒物过滤技术在建成环境中的实验研究现状与展望
- 博士生高轶伦J. Hazardous Materials: 聚多巴胺界面调节的静电响应过滤纤维,实现高效的颗粒捕获和臭氧去除
- 再见2022,画一个句号
- 课题组申请的国际专利已授权
- 硕士生顾宇挺Separation and Purification Technology:新型可折叠的静电增强过滤模块
- 博士生汪琰Journal of Building Engineering: 室内环境因素对管式被动采样器甲苯采样速率的影响
- 博士生高轶伦Applied Materials Today: 利用静电增强效应提升纤维过滤性能:机理、制备与电学特性
- 博士生陈其威J. Hazardous Materials: 亚毫米表面形貌的吸附薄层
- 团队2021年工作回顾
- 博士生陈其威获SuDBE2021最佳学生报告一等奖
- 博士生高轶伦获IEHB2021优秀学生论文奖
- 祝贺田恩泽博士的工作被清华大学分别在英文媒体平台Facebook和Twitter上介绍
- 博士生陈着J. Hazardous Materials: PAEs在不可渗透表面的液膜形成规律
- 博士生高轶伦ACS ES&T Engineering: 具有高介电涂层的粗效纤维协同去除超细颗粒物与臭氧
- 田恩泽博士Small:在粗效纤维上原位生长聚多巴胺,实现颗粒物的高效、低阻过滤
- 田恩泽获“国际期刊Energy and Built Environment(EBE)学术新人奖-优秀博士研究生奖”
- 博士生陈其威Building and Environment:原位热再生吸附薄层模块对室内VOCs吸附行为的实验与模拟研究
- 博士生夏凡轩Separation and Purification Technology:在泡沫金属中快速深度制备纳米纤维,具备高效颗粒物过滤和阻燃性能
- 博士生陈其威Environmental Research: 激光蚀刻制备纵向宏观通道以提升热再生柔性吸附薄层的有效吸附容量
- 团队2020年工作回顾
